Funcionarios del Gobierno Federal no cobraron la única multa firme impuesta por la Estafa Maestra
- La multa de $105 millones de pesos contra el exfuncionario José Antolino Orozco Martínez prescribió. Funcionarios responsables de la omisión siguen activos en la Secretaría Anticorrupción del Gobierno de Claudia Sheinbaum.

CIUDAD DE MÉXICO. – Una sanción económica firme de 105 millones 186 mil 739 pesos, impuesta en 2020 a un alto funcionario del sexenio de Enrique Peña Nieto por el esquema de corrupción conocido como la Estafa Maestra, no fue cobrada por omisión de servidores públicos que, pese a ello, siguen laborando en la Secretaría Anticorrupción y de Buen Gobierno, ahora bajo la administración de la presidenta Claudia Sheinbaum.
La sanción, dictada por el Área de Responsabilidades del Órgano Interno de Control (OIC) en la Secretaría de Bienestar (antes Sedesol), iba dirigida a José Antolino Orozco Martínez, exdirector de Geoestadística de la Sedesol y la Sedatu. La multa correspondía al monto excedente que Sedesol pagó a la Universidad Autónoma de Zacatecas en 2015 por un servicio cuyo precio de mercado era mucho menor.
Funcionarios Omisos y el Plazo Vencido
La responsabilidad de fiscalizar el cobro de la multa recayó en funcionarios que fueron contratados en el Gobierno de Andrés Manuel López Obrador:
- Gregorio Guerrero Pozas: Titular del OIC en Bienestar de agosto de 2020 a julio de 2021.
- Miguel Ángel Cedillo Hernández: Titular del Área de Responsabilidades en el mismo periodo.
A pesar de su obligación, ninguno de ellos realizó las gestiones necesarias para tramitar el cobro ante el Servicio de Administración Tributaria (SAT) en el tiempo requerido.
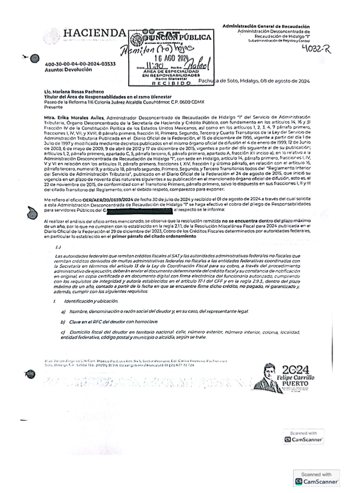
La información, transparentada mediante una solicitud, comprueba que fue hasta entre julio y septiembre de 2024, cuatro años después de dictada la multa, que se intentó cobrar. Sin embargo, el SAT respondió el 8 de agosto de 2024 que el plazo para gestionar la sanción ya había concluido.


Continúan en la Secretaría Anticorrupción
Lo más destacado es que tanto Guerrero Pozas como Cedillo Hernández continúan en la dependencia que lidera Raquel Buenrostro Sánchez:
- Gregorio Guerrero fue nombrado titular del OIC en la Secretaría de Relaciones Exteriores.
- Miguel Cedillo es titular del Área Especializada en Control Interno del Ramo Bienestar.
Ambos funcionarios son allegados a Perla Amorene Anaya Díaz, coordinadora general de Órganos Internos de Control de la Secretaría Anticorrupción.

El Caso Antolino Orozco
La multa millonaria no cobrada se suma al expediente de José Antolino Orozco Martínez, quien fue detenido en septiembre de 2021 por la FGR por desvío de recursos públicos relacionados con la Estafa Maestra. Orozco Martínez fue uno de los exfuncionarios que, junto a otros colaboradores de Rosario Robles, reveló a la FGR la manera en que se aprovechaban excepciones legales para firmar convenios sin licitación con universidades públicas y desviar recursos a empresas fachada.
Antolino Orozco fue sentenciado a 10 años de prisión por desvío de recursos y delincuencia organizada, logrando cambiar su medida cautelar a arraigo domiciliario en febrero de 2025.